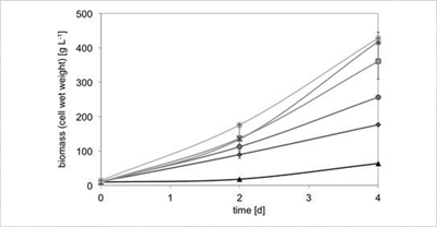
As a first step of the evaluation, different matrices are tested in batches in order to identify the most suitable nutrient sources to support the growth of the strain. Conventional or innovative matrices or specifically requested by the customer can obviously be evaluated.
Already in this exploratory phase we can have the first indications of the fermentation and freeze-drying yield of the product.

Batch fermentation in minimal or traditional soils, to identify the nutritional requirements of the strain.

Batch fermentation on a 500 ml scale to verify a first fermentation yield.

Freeze-drying of fermented products in different conditions and of different matrices.